座機:027-87580888
手機:18971233215
傳真:027-87580883
郵箱:didareneng@163.com
地址: 武漢市洪山區魯磨路388號中國地質大學校內(武漢)
產業技術研究郴州市許家洞地區地熱資源特征及資源量評價
文章來源:地大熱能 發布作者: 發表時間:2024-04-10 16:45:03瀏覽次數:1424
1 研究區概況
1.1 區域地質條件
許家洞地熱勘查區地理位置為113°00′32.75″~113°02′49.79″E,25°50′39.10″~25°53′41.89″N,面積16.8 km2。區內屬亞熱帶季風濕潤氣候區,并有向南亞熱帶、熱帶氣候過渡的特征,四季分明,雨量充沛。據郴州市1991~2020年氣象資料統計,區內年平均降雨量為1452.12 mm,其中4~9月的平均降雨量為972.30 mm,占全年降雨量的66.96%,年蒸發量1260.41~1831.03 mm,年平均氣溫17.8℃,年平均相對濕度78.92%。
區內出露地層從老到新依次為石炭系、二疊系、侏羅系、白堊系和第四系更新統。石炭系下統大塘組巖性以砂巖、礫砂巖和粉砂巖為主,中上統壺天群巖性以白云巖為主;二疊系下統包括當沖組和棲霞組,巖性以硅質巖、頁巖、灰巖及泥灰巖為主,棲霞組底部以生物碎屑灰巖與壺天群分界,頂部以泥灰巖與當沖組分界,上統斗嶺組巖性以砂質、炭質頁巖及石英砂巖為主;侏羅系下統分布在礦區外圍東南部,巖性為砂巖、頁巖及砂質頁巖,砂質頁巖微層理清晰。白堊系下統分布在礦區外圍北東部,以砂礫巖、砂巖、粉砂巖、泥巖為主。第四系更新統上部為亞粘土及亞砂土和耕植土、下部為磨圓度較好的砂礫層,主要分布于沿郴江一帶河流階地。
研究區位于華南褶皺系贛湘桂粵褶皺帶的鸞頭嶺—煙崗嶺復式背斜北段。區內北東向斷層(自北西至南東依次主要有F24、F7、F25、F8)對地下熱水的形成與分布具有一定的控制作用,局部可見的北西向斷層在深部與北東向斷層交匯,為地下熱能提供了儲存場所和運移通道。初步的勘查分析認為,許家洞地區地下熱水主要儲存于沿F7、F25斷層發育的碳酸鹽巖巖溶裂隙和通道中,局部破碎地段及裂隙為深部熱能提供了上升通道,為地下熱水的主要控熱、控水構造。在北東向和北西向斷裂交匯處有多處溫泉出露,沿北東向呈帶狀分布(圖1)。

根據區內地層組合、巖性特征和地下水賦存條件,將地下水劃分為松散巖類孔隙水、紅層碎屑巖孔隙裂隙水、基巖裂隙水和碳酸鹽巖巖溶水四種類型,不同地下水類型及富水性特征見表1。根據現場地熱鉆孔調查,地下熱水主要賦存于沿F7、F25斷層發育的灰巖巖溶裂隙和巖溶通道中,在F7斷層上盤的CK3、CK7地熱孔,降壓試驗測得的水溫分別為47.0℃和35.6℃。
研究區地下熱水賦存于沿斷層發育的棲霞組和壺天群碳酸鹽巖巖溶裂隙和巖溶通道中,局部破碎地段及裂隙為深部熱能提供了上升通道。地表大面積出露的斗嶺組和當沖組砂巖、頁巖、硅質巖起著相對隔水和隔熱作用,未破碎的碳酸鹽巖同樣起著相對隔水、隔熱作用。
許家洞地區地熱勘查范圍包括許家洞和下湄橋兩個地熱塊段。由于兩個地熱塊段構造特征不同,地下熱水溫度亦有所差別,考慮到未來會分別開發利用,故對兩個地熱塊段(許家洞地熱塊段和下湄橋地熱塊段,下文分別簡稱為GB1和GB2)地下熱水資源分別進行分析評價。GB1受F7斷層控制,降壓試驗測得最高水溫達47℃,區內無熱水天然露頭,屬低溫地熱資源中的溫熱水;GB2主要受F25斷裂構造影響,該斷層沿北北東25°方向展布,降壓試驗測得熱水溫度為35.6~36.5℃,屬低溫地熱資源中的溫水。
2 地熱流體流場特征及動態分析
2.1 地熱流體流場特征
區內巖溶水補給主要靠大氣降水通過漏斗、洼地進行直接補給,在溶洞地下河中等至強烈發育地區亦受地表水灌入補給,補給面積廣、水源充分。地下水沿北東向斷層(F7、F25、F24、F8)往深部滲透補給地下熱水,在徑流途中,各斷層間縱橫交錯的裂隙系統為地下熱水的相互聯通提供了良好的條件。在GB1處,位于外圍北東側的711礦自然排水點所測標高為172.00 m,CK1和CK3地熱孔同時期的水位標高為187.69 m、187.28 m,整體上,地下熱水由南西向北東方向徑流;在GB2處,北側花根沖B05號自流孔水位標高為170.90 m,CK7和CK8地熱孔同時期的水位標高為166.51 m、170.00 m,整體上,地下熱水由北東向南西方向徑流。
2.2 地熱流體的動態特征
本次分別選取CK1和CK7地熱孔對GB1和GB2地熱流體動態特征(水位和水溫)進行觀測,GB1中地熱孔CK1的觀測時間為2020年12月~2021年12月;GB2中地熱孔CK7的觀測時間為2020年2月~2021年2月。其地下熱水水位及水溫的動態變化分別見圖2和圖3。
由圖2可知:CK1和CK7地熱孔水位動態變化具有明顯的季節性特征,且與降雨量大小聯系密切,最高水位均集中在5~7月份,水位變化均屬于基本穩定型。觀測期內CK1和CK7地熱孔水位標高變化范圍分別在187.11~189.22 m和166.40~169.22 m,年變化幅度分別為2.11m和2.82 m。
3.1 水化學特征
本次對GB1中CK1、CK3地熱孔和GB2中CK7、CK8地熱孔水樣進行采集并開展水質測試。所采集的地下熱水為低溫、無色透明的水。本次研究采集的地下熱水樣品均在現場用0.45μm濾膜過濾,并保證水樣充滿采樣瓶以防止空氣進入,pH值在野外通過便攜式手持p H計測定。水樣品化學成分測試在湖南省地質工程勘察院進行,SO42-、Cl-、F-等陰離子含量利用離子色譜法分析,Ca2+、Mg2+、Na+和K+等陽離子含量和其他金屬元素分別采用ICP-AES和ICP-MS分析,水化學分析方法符合國家標準《食品安全國家標準飲用天然礦泉水檢驗方法》(中華人民共和國國家衛生健康委員會和市場監督管理總局,2022),測試誤差控制在3%以內。δD和δ18O在核工業二三〇研究所利用水同位素分析儀采用波長掃描-光腔衰蕩光譜法進行檢測,并取3針平均值作為檢測結果,測試精度分別為±1‰和±0.1‰。測試結果見表2。

研究區地下熱水中陽離子主要包括Ca2+、Mg2+、Na+和K+,其含量分別為56.16~81.68 mg/L、15.48~20.79 mg/L、1.31~10.64 mg/L和1.22~2.77mg/L;主要陰離子HCO3-為59.89~82.63 mg/L、SO42-為15.01~37.23 mg/L、Cl-為1.35~2.58 mg/L;pH為7.58~7.91,呈弱堿性。根據總硬度和礦化度指標(2024)。GB1和GB2地下熱水的δD值分別為-41.30‰~-25.21‰和-47.20‰~-44.90‰,δ18O值分別為-4.40‰~+0.60‰和-8.70‰~-7.71‰,在研究區地下熱水樣品的δD和δ18O關系圖(圖4)上可以看出,許家洞地區地下熱水的數據點均落在全球大氣降水線附近,表明研究區地下熱水主要由大氣降水補給,且發生了水汽再循環。整體分析可知,研究區地下熱水水化學類型主要為HCO3-Ca型、HCO3-Ca·Na型或HCO3·SO4-Ca·Mg型。
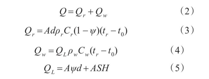
4.1 地熱儲能計算
熱儲法是目前計算地熱資源量較為成熟且應用廣泛的方法(熱儲法進行區內地熱資源量的計算,公式如下:
式中:Q為地熱資源量;Qr為巖石中儲存的熱量;Qw為水中儲存的熱量;QL為熱儲中儲存的水量;A為熱儲面積;d為熱儲厚度;ρr為熱儲巖石密度;Cr為熱儲巖石比熱容;ψ為熱儲巖石孔隙率或裂隙率;tr為熱儲溫度;t0為當地年平均溫度;ρw為地下熱水密度;Cw為水的比熱容;S為導水系數,無量綱;H為計算起始點以上高度。參照《地熱資源地質勘查規范》(中國國家標準化管理委員會,2010)附錄C中所列經驗值及區內地熱資源勘查資料對計算參數取值,各計算參數及結果見表5。由表5可知:GB1和GB2熱儲層中儲存的熱量分別為8.10×1016J和1.06×1016J。
4.2 地下熱水可采資源量計算
許家洞地區地下熱水動態變化較小,采用單孔可開采量評價法分別計算GB1和GB2內地下熱水可開采資源量。由鉆孔的可開采量計算結果(表6)可知,GB1和GB2中地熱孔的可開采量分別為766.11 m3/d和4079.28 m3/d。
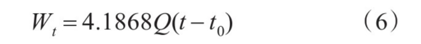
4.3 地下熱能量計算
根據鉆孔可開采熱水量,區內地下熱水可開采熱水的熱能計算公式如下:
式中:Wt為熱功率;Q為地熱流體可開采量;t為地熱流體溫度,取抽水時溫度;t0為當地年平均氣溫。地熱流體年開采累計可利用的熱能量按式(7)進行估算:
式中:ΣWt為一年開采累計可利用的熱能量;D為全年開采日數,按每年250天計算;K為熱效比,按燃煤鍋爐的熱效率0.6計算。
表7給出了區內地熱田可采熱儲能計算結果。由表7可知:GB1和GB2地熱塊段可采熱儲量分別為6301 kW和2684 kW(即6.30 MW和2.68 MW),故許家洞地區地下熱水可采熱儲量為8.98 MW,每年可提供約3.23×108MJ熱能,屬小型地熱田。
根據《地熱資源地質勘查規范》(中國國家標準化管理委員會,2010)附錄F,GB1和GB2地熱塊段地熱利用的年節煤量分別為7741.40 t和4017.05 t,共計約1.18×104t。
5 結論
研究區熱源由隱伏巖體深部熱能通過斷裂構造(以F7和F25為主)上升形成,蓋層主要為二疊系斗嶺組和當沖組的砂巖、頁巖、硅質巖等,棲霞組和壺天群的碳酸鹽巖巖溶發育段構成了該地熱田的熱儲層,完整的碳酸鹽巖起著相對隔水隔熱的作用。
許家洞地區地下熱水賦存于碳酸鹽巖的巖溶裂隙和通道中,主要補給來源是大氣降水。地下水沿斷裂構造向深部滲透補給地下熱水,當地下水運移到一定深度,由常溫地下水變成地下熱水后,由于斷層兩側巖溶裂隙系統的不均一性,受深部、淺部相對隔水隔熱巖層的阻隔,地下熱水向上運移,在地表以溫泉形式出露。水位和水溫的動態觀測顯示區內水位屬基本穩定型,水溫在不受外界影響的情況下無明顯波動。
區內地下熱水為低溫、無色透明的弱堿性水,隨季節變化不明顯。地下熱水的陽離子以Ca2+、Mg2+為主,其次為Na+、K+;陰離子以HCO3-為主,其次為SO42-、Cl-;水化學類型主要為HCO3-Ca型、HCO3-Ca·Na型或HCO3·SO4-Ca·Mg型,初步判斷區內地下熱水可作為理療熱礦水開發利用。地下熱水中的偏硅酸、鍶達到飲用天然礦泉水標準。
許家洞和下湄橋兩個地熱塊段熱儲層中的熱儲量分別為8.10×1016J和1.06×1016J,可開采量分別為766.11 m3/d和4079.28 m3/d,地下熱水可采熱儲量分別為6300.99 kW和2684.13 kW,每年可分別提供約2.27×108MJ和9.66×107MJ的熱能,每年節約的標準煤資源約1.18×104t。這對該地區地熱資源的開發利用及生態環境保護具有重要指導意義。
上一篇 > 蘭考縣地熱回灌影響因素分析及對策
下一篇 > 河南濟源五龍口地熱資源特征與產業化研究








